(1) Amortiment deRessonància en sèrie (també coneguda com a ressonància de freqüència variable)Circuit
Afegint resistència al circuit ressonant, es pot suprimir la ressonància. Aquesta resistència s'anomena resistència d'amortiment. Es mostra un exemple d'addició d'una resistència d'amortiment (representada per R a la figura).
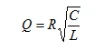
Quan s'utilitza una resistència d'amortiment en sèrie amb un ressonador en sèrie, la Q del ressonador es deriva de la següent manera.

Per exemple, podem combinar les constants de part utilitzades a la prova de la figura 3-2-4 en aquesta fórmula. Si la impedància de sortida de la font del senyal és de 50 ohms per a la resistència R, s'obté Q=6.3, que indica la presència d'una forta ressonància; Si la resistència R és alta, Q es fa més petita, debilitant així la ressonància. Per tant, podeu veure que afegir una resistència superior a 50 ohms per a aquest propòsit pot debilitar la ressonància.
Normalment, per suprimir la ressonància, les resistències es seleccionen de manera que Q s'estableixi a 1 o menys.
(2) Condicions no oscil·latòries desèrie ressonantcircuit
Per eliminar l'excés, l'inferior o el timbre de formes d'ona de pols com ara senyals digitals, s'utilitza una resistència que compleixi la fórmula següent per satisfer la condició de no oscil·lació del circuit ressonant de la sèrie LCR.

La fórmula (2) fa que Q sigui igual o inferior a 0,5.
(3) Amortiment del circuit ressonant paral·lel
Per contra, quan s'utilitzen resistències d'amortiment en paral·lel amb ressonadors paral·lels, com es mostra a la figura, la Q del ressonador es deriva de la següent manera:
![]()
En aquest cas, com més petita sigui la resistència, més feble serà la ressonància.
Exemple d'amortiment de resistència






